责任编辑:张宇森
氮(N)沉降影响着对人类健康和福祉至关重要的生态系统功能。然而,对于这种情景下,森林土壤生态系统多功能性(SMF)的响应尚知之甚少。因此,研究团队依托位于河南大别山森林生态系统国家野外科学观测研究站的“林冠模拟N沉降”野外控制实验平台,通过在温带森林树冠上方和下方喷施硝酸铵溶液来模拟N沉降(图1)。
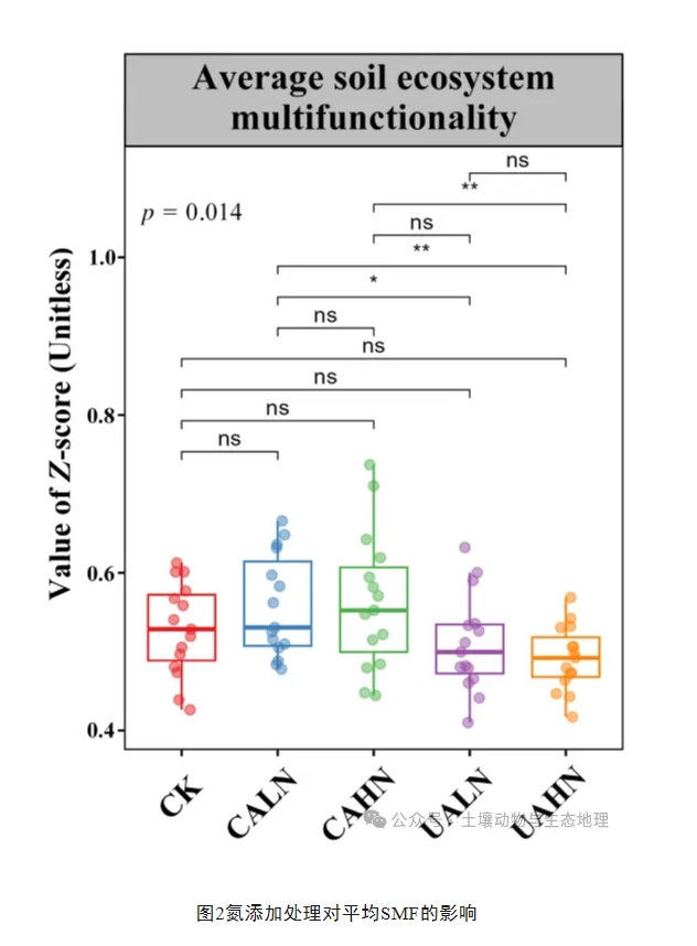
研究表明,林冠N添加促进了SMF,而林下N添加抑制了SMF(图2)。在林冠N添加处理中,SMF受真菌多样性调控,这主要是由于真菌对土壤酸化的强抗性和其自身高效资源利用特性(图3a-b和4a)。而在林下N添加处理中,SMF则受细菌多样性调控,这主要是由于细菌对干扰有着较强的恢复能力和其自身快速的周转能力(图3c-d和4b)。
此外,稀有微生物类群可能在维持SMF方面发挥着重要的作用(图5)。这项研究首次提供了N沉降增强温带森林SMF的证据,并丰富了对增强的N沉降影响森林生态系统的认识。考虑到两种N添加方法的不同结果,林冠N添加对土壤微生物多样性-多功能性关系的创新视角对于制定保护土壤微生物多样性和在增强的N沉降背景下进行可持续生态系统管理的政策至关重要。
相关研究结果以“Canopy nitrogen deposition enhances soil ecosystem multifunctionality in a temperate forest”为题,发表于环境科学与生态学期刊Global Change Biology上。博士生杨安为论文第一作者,王洪涛副教授和傅声雷教授为论文的通讯作者,yl23411永利集团官网地理与环境学院为第一署名单位,该研究得到了国家自然科学基金重点项目的资助。
Yang, A., Zhu, D., Zhang, W., Shao, Y., Shi, Y., Liu, X., Lu, Z., Zhu, Y., Wang, H., Fu, S. (2024). Canopy nitrogen deposition enhances soil ecosystem multifunctionality in a temperate forest. Global Change Biology, 30(3), e17250. https://doi.org/10.1111/gcb.17250





